Wine Marketers: You’re Probably Using AI Wrong
Here's the way to work with your AI Marketing Assistant...

Earlier this year, I leaned into GenAI to learn how it might help wine marketers survive a challenging time.
Like many wine marketers, I initially viewed AI as another traditional business tool.
I’d ask a question (input) and wait for the computer’s answer (output).
Results? Sometimes insightful or artful, but often decidedly less so.
It turns out I was using GenAI wrong when I first approached this unique beast.
Here's what I learned...
WORKING WITH AI AS A COLLEAGUE...NOT A TOOL
Working with GenAI as a colleague, instead of using it as a tool, made all the difference in the world for me.
Instead of simply saying “write a business plan,” I ask my AI assistants to ask me questions about my goals and limitations, enabling them to do their best work tailored to my needs.
Then the give-and-take of my conversations with GenAI sparked original ideas — ideas that I wouldn’t have thought of without GenAI’s help.
And the more we learned from each other, the better our ideas became.
That’s a huge deal…when AI enhances human agency instead of replacing it.
Soon, I educated my AI Agents on the best practices of DTC wine marketing, and my AI assistants started generating ideas, schedules, and checklists we could follow together as we turned plans into action.
The result: a revolutionary new family of AI-powered DTC wine marketing agents built from scratch in a few months with the help of AI collaboration.
WHY CHANGE THE WAY YOU USE AI?
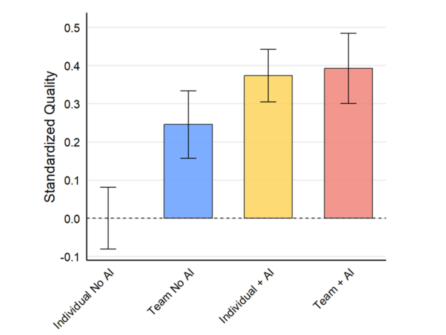
In a recent Harvard Business School study of small marketing teams within Procter & Gamble, researchers found that collaboration with GenAI made one-person teams more productive than two-person teams that did not collaborate with AI.
The implication for small wine brands is that they can out-innovate much larger brands.
Not only did one-person marketing teams paired with AI come up with more innovative ideas, but they also completed their work faster and reported better job satisfaction.Could an AI Agent explicitly trained in the best practices of DTC wine marketing help my colleagues who work for small wine brands?
Of course, I asked GenAI to brainstorm this idea with me…
And what we came up with was Miri: a DTC Wine Marketing Advisor – a free AI Agent designed to help even small wine brands innovate faster.
MEET MIRI: AI-POWERED DTC WINE MARKETING ADVISOR
Our concept with Miri was to combine the communication skills of an LLM with the experience and knowledge of a DTC wine marketing expert to produce an AI assistant that can help small brands compete against larger rivals.
And now any DTC wine marketer looking for an AI sounding board can work with Miri for free.
We hope Miri – and our entire AI Agent team – can help you develop ideas, focus on the best marketing techniques to achieve your goals, and assist you in profiting from professionally-planned multi-channel marketing campaigns.
In exchange, I hope you’ll help our team learn to help others by providing constructive feedback.
WANT TO LEARN MORE ABOUT PRODUCTIVE WAYS TO WORK WITH AI AGENTS?
Stanford's Jeremy Utley shared his own similar experience as he learned to engage AI as a colleague in his engaging YouTube video, “You Are Using AI Completely Wrong.”
If you’re looking for a true productivity boost from AI, watch this 13-minute video. Key Insights:
📌How treating AI as a teammate rather than just a tool can dramatically improve outcomes
📌Why you should have AI ask you questions instead of just answering yours
📌How non-technical professionals can leverage AI to achieve extraordinary results
📌The difference between treating AI as a tool versus as a teammate
And if you’re on LinkedIn and want to learn more about the quickly evolving world of AI Wine Marketing Agents, please subscribe to our free newsletter, AI Wine Marketing News.
This is just the beginning of AI innovation in the wine industry. Now’s the time to lead, follow, or get out of the way.
Happy Selling!
ABOUT THE AUTHOR
Bryan St. Amant, founder and CEO of VinterActive, holds an MS in Business Management from M.I.T. and a BS in Mechanical Engineering from U.C. Berkeley. He’s built AI-powered systems for governments, tech giants, and wine marketers. His award-winning work has been featured in books, magazines, and seminars, including CFO Magazine, Inc., CNN Money, eMarketing Magazine, Integrated Direct Marketing, Direct Marketing Association, Grapevine Magazine, Wine Marketing Report, Wine Business, and the Wine Industry Network.






