
Maintaining wine balance in a changing climate Climate change is reshaping the wine industry. In many wine regions, each year seems to set new records for the hottest or driest growing season, followed by the earliest harvest dates yet. Such accelerated ripening is disrupting grape physiology;...
Read MoreIntroduction Coopers have long recognized the importance of forest origin in shaping the sensory qualities of wine, yet relatively little research has been conducted to understand the underlying factors driving these effects. With access to oak sourced directly from several prestigious and...
Read More
An unseasonably damp summer in many growing areas of Chile (a rainy January followed by nearly three weeks of mist/fog in February) and Argentina (10 weeks or so of lingering rainfall) has raised concern about their respective 2021 vintages, pushing up prices on the 2020 wines and further reducing...
Read More
As we enter the second month of 2021 the global bulk wine market can be characterised by being uncharacterizable: each producer country is currently contesting with its own unique cocktail of domestic and internationally-derived factors so that any sweeping statement about the global supply-demand...
Read More
NAPA, Calif. (Apr. 7, 2025) – Cooperages 1912 is committed to supporting wine barrel clients through the evolving tariff environment with a multi-faceted strategy designed to promote stability, continuity, and long-term partnership. As part of their commitment to build enduring relationships based...
Read More
One impact of global warming is warmer growing seasons and heat waves that result in slightly higher alcohol content and more ripe, concentrated flavors. Growers often leave red grapes on the vine longer to build deeper color, richer tannins, and more intense, complex flavors. The downside of this...
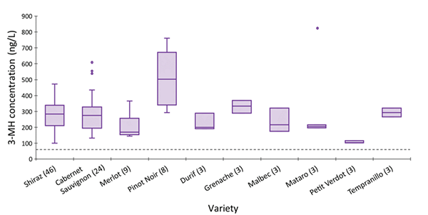
Read MoreIn partnership with the Napa Valley Grapegrowers, ETS Laboratories has been building a database of grape samples to help growers and winemakers better understand smoke impacts on winegrapes, work with insurance companies to protect their assets, and create individual baselines for the varieties in...
Read More
The global bulk wine market is heading into the second quarter of the year looking more ‘normal’ than it has done for some months: rather than each market united in slowness, some have seen an uptick – however slight – in activity (Chile and California), some are unable to meet demand on at least...
Read More
The Australian ‘Black Summer’ of 2019/20, which saw bushfires destroy swathes of vineyard land across the country was a dramatic reminder of the growing challenges facing winemakers around the world. We spoke to leading Australian winemakers and lab technicians to find out how agile decision-making...
Read More
The global bulk wine market continued to be slow through March into early April, as the ongoing economic uncertainty around the world compounds a longer-term structural weakness specific to the wine industry – namely, the multi-year slide in wine sales in key markets: according to International...
Read More